搜索
技校概况
党建活动
校园动态
人才培养
校企环境
网上报名
校园文化
校园动态
校内要闻 >
通知公告 >
政策解读 >
财务预算、决算 >
通知公告
你现在的位置:
首页
>
校园动态
>
通知公告
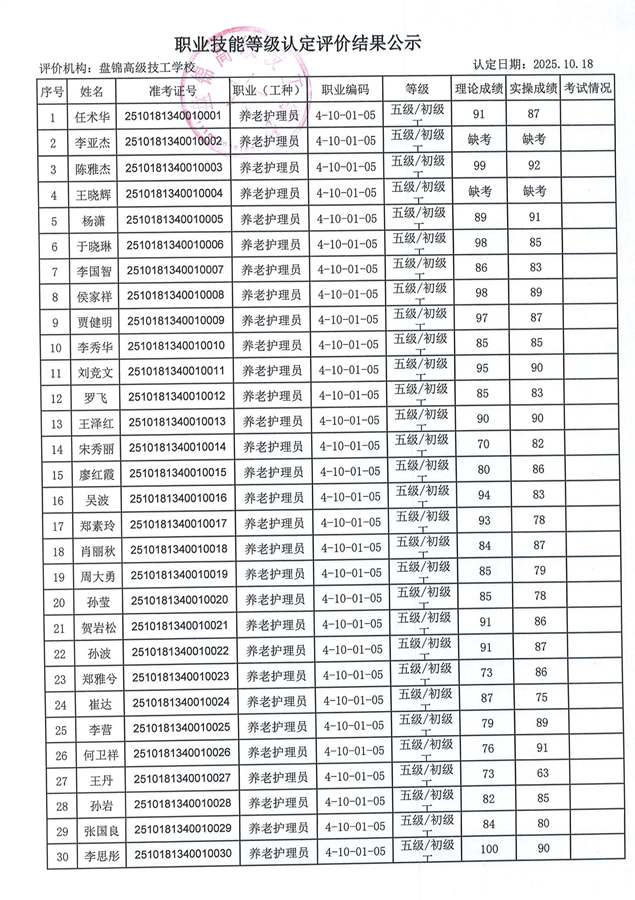
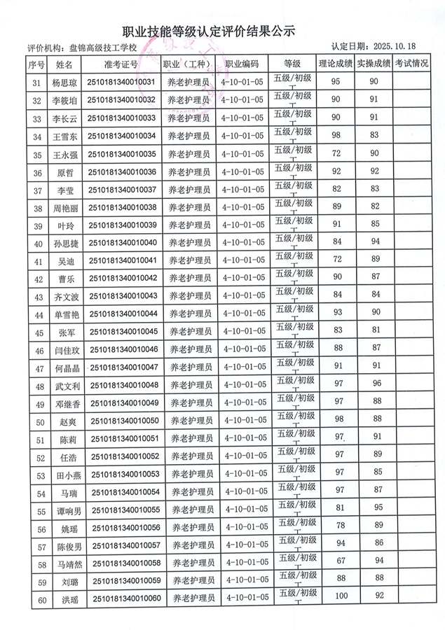
盘锦高级技工学校职业技能等级认定成绩公示(2025年第3批)
添加日期:2025年10月22日